


Scientific Research Backing Pulsetto
Discover the scientific principles behind Pulsetto’s technology and its evidence-based approach






Scientific Research Backing Pulsetto
Discover the scientific principles behind Pulsetto’s technology and its evidence-based approach
Unlocking the Power of the Vagus Nerve
Harnessing the power of the vagus nerve for better health and relaxation.

Unlocking the Power of the Vagus Nerve
Harnessing the power of the vagus nerve for better health and relaxation.
The vagus nerve is your longest cranial nerve, connecting your brain to several of your internal organs.
It’s named after the Latin word for wandering. That’s because it starts at the brain before branching to almost every major organ in your body.
Your vagus nerve is responsible for signaling the brain to release calming neurotransmitters like acetylcholine and serotonin.
The vagus nerve is crucial for activating your relaxation response so you can “rest and digest".
What is vagus nerve stimulation?

What is vagus nerve stimulation?
Vagus nerve stimulation (or VNS), as it is commonly used today, works by delivering electrical impulses to the vagus nerve, which is the major highway between your brain and internal organs. By using cutting-edge technology, we can stimulate the vagus nerve using non-invasive vagus nerve stimulation, nVNS. That means no need for invasive surgery or for needles!


stimulations
Join the millions who trust Pulsetto’s proven technology to deliver effective, science-backed relief.

Sleep stimulations

Anxiety stimulations

Stress stimulations

Pain stimulations

Burnout stimulations

See the Impact: Customer Results with Pulsetto
Customer Results after just 14 days of daily Pulsetto usage.

Sleep quality

Stress levels

Anxiety levels

General feeling

Burnout levels

Pain levels
Backed by science
Scientific research that demonstrates the effectiveness of Pulsetto.

CorstisolSleepStressAnxiety
Non-Invasive Vagus Nerve Stimulation Reduces Depressive Symptoms, Improves Sleep, and Lowers Cortisol
Read study
Nervous systemHeart RateVagus Nerve
The effect of transcutaneous cervical vagus nerve stimulation on the cardiac autonomic nervous system
Read study
MigraineVagus NervePain relief
Evaluating the Efficacy of Bilateral Non-Invasive Vagus Nerve Stimulation in Reducing Migraine Symptoms: A Prospective Observational Study
Read study
Pain reliefVagus NerveSleep quality
Evaluating Non-Invasive Vagus Nerve Stimulation for Pain Management in Bechterew Disease: A Pilot Study
Read study
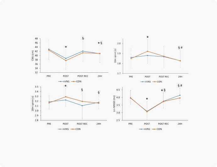
AthletesFatigueRecovery
The use of non-invasive vagus nerve stimulation (Pulsetto™) as a post-exercise recovery strategy in male football players
Read studyOngoing and Upcoming Studies
List of unpublished but ongoing studies involving the Pulsetto device.
Trusted by Experts,
Recommended by Doctors
At Belle Meade Chiropractic, we emphasize functional neurology, integrating Pulsetto to enhance nervous system function. In patients with movement disorders, we see reduced muscle rigidity and tone, improved motor control, and smoother gait patterns. Migraines often resolve in-office, while vertigo patients experience immediate improvements in balance and spatial awareness. Neurological testing consistently shows enhanced cerebellar function and improved frontal cortex performance. By applying functional neurology principles with Pulsetto, Dr. Burton helps patients achieve rapid and lasting improvements in movement, pain relief, and overall well-being.
Happy to support a device that changes my patients lives.
Chiropractic
“A number of my patients have used this device and I will be offering trial sessions in my clinic for those who want to try it. BUT they also offer 30 days money back! So you can’t go wrong with that.
Overall, I really like the Pulsetto. I have been using it for almost 2 years (though I didn’t use it when I was pregnant).”
Vagus Nerve Chiro & Coach Carrie
"My name is Ole Jørgen Frydenlund, and I am an acupuncturist with over 25 years of experience. I first heard about Pulsetto six months ago through a colleague, and I have been using it daily with my patients ever since. It’s incredibly exciting and complements acupuncture perfectly. Pulsetto has significantly improved my treatment results. One example is a patient who struggled with sleep issues. She borrowed the Pulsetto device for a week, and after just two days of use, she was sleeping soundly. I highly recommend Pulsetto."
Acupuncturist
“I came across an online ad for Pulsetto and found it very intriguing, so I decided to reach out. Since then, I’ve been using Pulsetto daily, both for myself and my patients. The feedback has been outstanding. One of my patients, who suffers from anxiety, borrowed a Pulsetto for the weekend. When she returned for her session on Monday, she reported feeling completely free from anxiety. I wholeheartedly recommend Pulsetto."
Acupuncturist


Calling All Researchers
At Pulsetto, we’re eager to partner with researchers dedicated to advancing healthcare and wellness through neuromodulation.
By combining our innovative device technology with your expertise, we can unlock new possibilities for improving patient care and overall well-being.
Let’s collaborate to drive meaningful progress. Reach out to explore partnership opportunities – we’re excited to learn more about your research.